Mathematics Trigonometry
ʃ sin2 dxdx = ?
Mathematics Simplification

Mathematics Simplification
का मान निम्न में से किसके बराबर है?
Mathematics Probability
ताश की एक गड्डी से एक पत्ता यदृच्छया निकाला जाता है। उसके लाल का इक्का होने की प्रायिकता बतावें?
Mathematics Algebra
यदि α, β समीकरण ax² + bx + c = 0 के मूल हों, तो α2 + β2 = ?
Mathematics Trigonometry
d ⁄ dx(K sin x ⁄ cos x) किसके बराबर है?
Mathematics Trigonometry
d ⁄ dx(tan2x) = ?
Mathematics Ratio & Proportion
यदि A = {1, 2, 3}, B = {2, 4} तो A – B = ?
Mathematics Mensuration
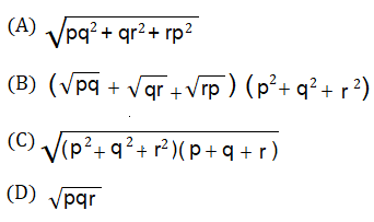
किसी घनाभ के तीन संलग्न तलों के पृष्ठीय क्षेत्रफल p, q, r हैं। उसका आयतन होगा:

Mathematics Mensuration
किसी तांबे के तार को जब एक वर्ग के आकार में मोड़ा जाता है, तो यह 121 सेमी² क्षेत्रफल वाले क्षेत्र को घेरता है। यदि उसी तार को एक वृत्त के आकार में मोड़ा जाए, तो तार द्वारा घेरे गए क्षेत्र का क्षेत्रफल होगा : [π = 22⁄7]
Mathematics Ratio & Proportion
एक त्रिभुज ABC में, AB = 3 सेमी, AC = 4 सेमी तथा ∠A का समद्विभाजक AD भुजा BC को बिन्दु D पर मिलता है। तब, BD : DC बराबर होगा:
Mathematics Mensuration
किसी वर्ग के एक विकर्ण की लम्बाई 15√2 सेमी है। इसका क्षेत्रफल होगा:
Science Physics
यौगिक सूक्ष्मदर्शी क्या होता है?
Science Physics
कांच के बने द्विउत्तल लेंस की वक्रता त्रिज्या 15 सेमी तथा 20 सेमी है तो लेंस की फोकस दूरी होगी :
Science Physics
एक पीनछिद्र कैमरा (Pinhole Camera) किस सिद्धान्त पर कार्य करता है?
Science Physics
चुम्बक को दो बराबर भागों में बांटने पर चुम्बक का चुम्बकीय आघूर्ण :
Science Physics
यदि समान फोकस दूरी ƒ के दो अभिसारी (Converging) लेंस एक-दूसरे के संपर्क में रखे हों तब संयोग की फोकस दूरी होगी :
Science Physics
एक रेडियोऐक्टिव तत्व का अर्ध आयु 1000 वर्ष है। कितने समय के बाद तत्व के नमूने का केवल 1⁄8 भाग रह जाएगा।
Science Physics
एक ध्वनि स्त्रोत की प्रवलता दूसरे से 5 डेसीबल अधिक है तो उनकी तीव्रताओं का अनुपात होगा :
Science Physics
परम शून्य तापक्रम पर अर्द्धचालक की चालकता होती है :